
システム手帳A5サイズ用のカレンダーリフィル2014年度版が出来上がりました。
レザークラフトで、システム手帳を作って以来
中に入れるリフィルも全て手作りで制作していました。
しかしカレンダーは、一度作ってプリントアウトしたらもうデータを使う事はありません。
これではもったいないし、廻りの友人、知人からの勧めもあったので・・・
こんなもので良かったら欲しい方には是非お使いいただきたいと思い
今回から配布を始める事にしました。
まぁ〜、偉そうに配布と云ったらすごくおこがましい気がするのだけど・・・
良かったら、使ってやって下さい(^^;)
目次
リフィル
【2014年度版】A5 システム手帳用カレンダーリフィル
見開きのイメージ
Left(左側)のイメージ
出来るだけ多くの予定などが書き込めるようになるべく大きなマスにしました。
マスには薄い破線で罫線も引いてありますので、メモなどもスマートに書込めると思います。
Right(右側)のイメージ
右端には、簡単なTODOが記入できるスペースとメモ欄
下側にはフリースペースもありますので様々な内容に活用できると思います。
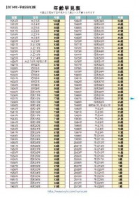
カレンダーは見開きで使用するため、表と裏が空白ではカッコがつかないので
表紙には年間カレンダー
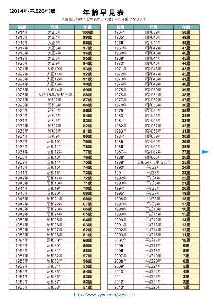
裏表紙には、2014年度版年齢早見表を付けてあります。
年齢早見表は下記サイトのデータを参考にさせていただきました。
Download
リフィルデータは圧縮zipファイルになっていますので
取り込んだパソコン上で「解凍」または「展開」してください。
「解凍」または「展開」したフォルダーには
右側、左側の2種類のPDFデータが入っていますので
アドビリーダーなどで開いて印刷してください。
印刷のコツは、左(left)側のPDFファイルの内容の全ページを一気に印刷した後に
そのまままとめて裏返して今度は右(right)側の全ページを一気に印刷してください。
その際に注意するのは、最初に左側を印刷して出て来た13枚のページは
絶対にバラバラにしないでください。
用紙指定 A5 も忘れずに・・・(^^)
詳しい印刷の方法などは、後日説明画像を付けて解説記事をアップいたします。
ご注意:免債事項
著作権の放棄はしておりませんが、ご自由にお使いください。
このリフィルを使用した事で生じた損害や不都合には一切の責任は負いませんのでご了承下さい。
“2014年版A5カレンダーリフィル” をダウンロード
cal2014.zip – 9857 回のダウンロード – 4.99 MBダウンロードされた場合は免債事項に同意したものとします。
追記・・・
実際に印刷をしてみた解説記事をアップしました。
なんだか頭がコンガラガって印刷がうまくいかないという方は参考にしてみて下さい
ダウンロードしたカレンダーリフィルを印刷してみよう
2013年11月14日
それでは…(@^^)/~~~




![th_2014year[A5]](https://www.ivyhc.com/blog/wp-content/uploads/2013/11/th_2014yearA5-199x283.jpg)
![th_2014[A5]](https://www.ivyhc.com/blog/wp-content/uploads/2013/11/th_2014A5-199x283.jpg)
